Pokerdom: скандалы, интриги, расследования.

12
Статистика
Статистика
12
Статистика темы
  • Популярность
    Топ-5918
  • Постов
    46
  • Просмотров
    16,236
  • Подписок
    12
  • Карма автора
    0
1 2 3
  • Всем доброго дня.

    Я имею отношение к индустрии, и считаю, что такие вещи нельзя оставлять без внимания, в том числе и руководству данной площадки. Они нанесли ущерба — более 10 млн евро в виде неоплаченных лицензионных платежей индустрии гемблинга. Поддельное игровое ПО, отмывания денег, неуплата налогов – лишь малая часть из того, что натворила группа лиц, причастных к Pokerdom.

    Если сообщество не против, я опубликую расследование, раскрывающий теневую сторону деятельности основателей.
    Сообщение отредактировал Soul - 22.1.2018, 18:50
    Ответить Цитировать
    1/6
    + 16
  • Жги
    Ответить Цитировать
    1/2
    + 10
  • Будет жарко или спички мокрые?
    Ответить Цитировать
    1/1
    + 0
  • Давай. Главное всё детально и в подробностях.
    Ответить Цитировать
    1/4
    + 1
  • А какое отношение имеешь? Сделал депозит 10у.е. и проиграл с тузами 72о?
    Ответить Цитировать
    1/2
    + 11
  • wejay, если в вашем понимании индустрия - это сделать депозит и проиграть, то бессмысленно что-то объяснять.
    Ответить Цитировать
    2/6
    + 0
  • Etizen,

    Ну и чего ты молчишь? 2 часа прошло, тишина. Публикуй что у тебя там есть интересного. Если оно конечно есть, а не просто словоблудие.
    Ответить Цитировать
    2/4
    + 0
  • Короче тс чей то клон скорее всего, льёт воду и всё, какие то 10 миллион баксов придумал, лол Было бы что написать - взял бы и написал, нахрена спрашивать разрешения? Это конечно не отменяет того, что в этом говнодоме лучше не играть и адекватный человек там играть и не станет.

    ПС Удивительно, что Демидов ещё не подтянулся в тему, спит наверно :D
    Ответить Цитировать
    2/2
    + 1
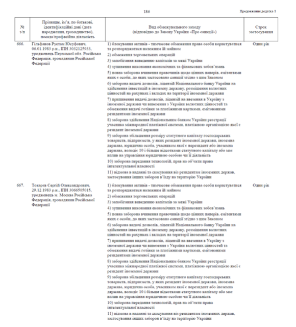
  • Американское интернет-издание опубликовало материал, раскрывающий скандально известной в Украине IT-компании Lucky Labs Сергея Токарева и Рустама Гильфанова.



    Украинские медиа многократно писали разоблачительные материалы о компании Lucky Labs и ее российских владельцах Сергее Токареве и Рустаме Гильфанове. Вспомним лишь самые знаковые за последнее время темы.

    Апрель-2016. Ряд ведущих сайтов, в том числе, Обозреватель и Лига, рассказали, что СБУ провела обыски в офисах компании Lucky Labs Токарева и Гильфанова. Скандальную компанию подозревали в поддержке террористов «ЛДНР» и неуплате налогов…

    Октябрь-2016. Буквально все ключевые СМИ, в том числе Forbes и 24, сообщили, что Украина ввела персональные санкции против владельцев компании Lucky Labs Токарева и Гильфанова …

    И вот 7 сентября популярнейшее американское интернет-издание The Huffington Post публикует жесткий материал «Novomatic собирается купить русских гангстеров». В нем детально описаны все способы заработка Токарева и Гильфанова в сфере нелегального игорного онлайн-бизнеса, а также их намерение обелить свою репутацию, продав одну из своих компаний Playson ведущему европейскому игроку Novomatic. Спустя всего сутки, 8 сентября, издание «спрятало» текст.

    По всей видимости, неугодную публикацию Токарев и Гильфанов убрали уже привычным для себя способом – финансовым. Ранее, точно таким же чудесным образом, исчезали многие неудобные публикации на украинских сайтах. Скорее всего, по аналогичной причине украинские силовые структуры затягивают расследование по делам этих российских граждан.

    Что же касается удаленной статьи на The Huffington Post. В распоряжении остались скриншоты публикации, которые переведены на русский язык. Выводы делайте сами, ведь текст весьма показателен.


    Novomatic собирается купить русских гангстеров


    Иногда случается так, что на пике покупательского бума на рынке крупные компании находят привлекательный актив, который впоследствии оказывается темной лошадкой и приносит больше проблем чем пользы. По информации из нескольких доверенных источников, один из крупнейших китов гемблингового рынка Европы Novomatic Group может скоро угодить в такую западню. Целью их возможного приобретения является относительно небольшая компания Playson, которой владеют несколько граждан подсанкционной России, чьи интересы выходят за рамки декларируемого компанией создания игрового продукта. Компания, которая сейчас выглядит как вполне законный производитель программного обеспечения под Мальтийской юрисдикцией, на самом деле давно связана с производством поддельного программного продукта на российском рынке азартных игр. И, что удивительно, стороной, которая наиболее пострадала от деятельности Playson, является сама компания Novomatic. Создание и использование нелицензионного ПО позволило российской игорной мафии «сэкономить» более 10 млн евро в виде неоплаченных лицензионных платежей. В Novomatic безусловно знают о широком использовании нелегальных копий своих продуктов в странах СНГ в течение многих лет, но ничего не могут с этим поделать. И, несмотря на это, GreenTube — онлайн-подразделение компании Novomatic – собирается заключить сделку с первым номером в списке производителей пиратского гемблингового продукта в России. Достаточно странное решение для такого крупного и уважаемого игрока рынка онлайн гемблинга.

    Playson, основанный двумя российскими предпринимателями Сергеем Токаревым и Рустамом Гильфановым, никогда не создавал уникальных игр. Ранее он был известен как Globo-Tech – крупный производитель нелицензионного гемблингового продукта, основанный в Москве в 2001 году. В Globo-Tech изобрели «инновационный» подход к производству игрового ПО для обычных казино — они просто копировали сотни известных игр Novomatic и NetEnt, таких как Book of Ra, Lucky Lady’s Charm, Dolphin’s Pearl, Ironman, Hulk, Gonzo’s Quest, Starburst и других. Globo-Tech стал особо успешным после запрета азартных игр в России в 2007 году. Начиная с этого времени, игорный бизнес в России преимущественно «переехал» в Интернет и Globo-Tech стал одним из ведущих поставщиков поддельного игорного ПО и готовых решений для процветающего черного рынка. Учитывая огромные прибыли и невероятные темпы роста, неудивительно, что компания стала самостоятельно управлять игорным бизнесом, также используя копии известных продуктов компаний Novomatic и Igrosoft — их названия были хорошо знакомы игрокам, которые ранее регулярно посещали обычные казино. Такие бренды, как Va-Bank casino, BestForPlay и Vulkan Deluxe были среди флагманских В2С-продуктов, продвигаемых компанией. В том же противозаконном духе, Globo-tech/Playson незаконно использовали различные защищенные законом бренды и торговые марки в названиях своих онлайн-казино, такие как Gaminator, Admiral, Vulkan и другие.


    Поддельная игра Book of Ra на сайте Vulkan

    Следуя общемировым тенденциям, собственниками Globo-tech была создана партнерская программа сначала известная как GGS Affiliates, а позже переименованная в Lucky Partners. Она позволяла любому вебмастеру открыть и управлять собственным незаконным онлайн веб-казино, используя пиратское программное обеспечение. Оффшорная регистрация и отсутствие необходимости соблюдать лицензионные соглашения и платить за использование пиратского продукта позволили брендам, входящим в GGS Affiliates, демонстрировать колоссальные темпы роста, а компании — занять значительную долю теневого российского рынка онлайн-гемблинга. Количество URL-адресов, включенных в портфель, росло. Такие имена, как Fortuna, Eldorado, Twistcasino, Velkam Deluxe, Geiminator-Slots, SuperSlots появились позже и все также использовали незаконные продукты, предоставляемые Globo-tech. Были созданы тысячи сайтов, через которые ежедневно проходили огромные деньги. Lucky Partners постарались на славу для того, чтобы научить перспективный российский гемблинговый рынок управлять онлайн-казино с помощью пиратского контента, что привело к недополучению десятков миллионов евро основными легальными производителями, такими как Novomatic, Playtech, NetEnt.


    Поддельная игра Book of Ra game на сайте Super Slots

    Наблюдая рост прибыли, в компании начали думать над очищением своей репутации. Не прекращая пиратской деятельности, Токарев и Гильфанов решили одновременно запустить несколько легальный бизнесов — в результате на рынке появились такие относительно «белые» бренды как Joy Casino, Casino-X и PokerDom. В этот раз бренды использовали легальный контент от Microgaming, NetEnt и других поставщиков (в том числе и «законной» части Playson), и управлялись зарегистрированной на Кипре компанией Darklace Ltd. с лицензией Curacao license of Pomadorro N.V. Все эти проекты были собраны под зонтичным брендом партнерской программы PoshFriends. Интересно, что при всем этом покерный сайт PokerDom заявляет, что он управляется Darklace Ltd., но в тоже время он также предлагается и через партнерскую программу Lucky Partners, которая все еще активно работает. Такие бренды необходимы не только для очистки репутации, но, что более важно, служат прикрытием для процессинга платежей на «черных» сайтах.


    Топ-страница WebMoney на Super Slots, которая демонстрирует связь с Pomadorro N.V.и geiminator-slots.com


    Сайт Geiminator-slots.co с поддельным контентом Novomatic


    Все упомянутые бренды и компании известны тем, что они де-факто управляются компанией Lucky Labs, которая базируется в Украине. Маскируясь под компанию-разработчика компьютерных игр, офис Lucky Labs служит основным центром полного цикла бизнес-активностей: управления «серыми» и «белыми» операциями казино, разработки программного обеспечения, партнерских программ, маркетинга, клиентской поддержки и собственно разработки самих игр. Они широко рекламируются на торрент-трекерах и порносайтах с незаконным контентом при помощи собственного карманного агентства AdWise agency (https://adwise.agency/en/) – еще одного фасадного проекта, который прикрывает теневые рекламные кампании, таргетированные на российских клиентов.

    Компания, ранее разделенная между Москвой и Киевом, перевезла всех своих 400+ сотрудников в Украину несколько лет назад. Достаточно странный шаг, принимая во внимание российско-украинский конфликт и тот факт, что гемблинг полностью вне закона в Украине. Неудивительно, что такие действия не были положительно восприняты украинскими властями. Собственники компании Сергей Токарев и Рустам Гильфанов в настоящее время активно преследуются и даже внесены в санкционный список Президента Украины, как физические лица, которым запрещен въезд на территорию Украины и активы которых заморожены. Новые партнеры Novomatic Сергей Токарев и Рустам Гильфанов, как показывает простой поиск Google, были вовлечены в процессы отмывания денег, хаккерства и даже терроризма. И пока украинские спецслужбы продолжают расследование незаконных операций этих известных российских граждан, принадлежащая им группа компаний ищет пути улучшения своей репутации, пытаясь выстроить связи с уважаемыми иностранными компаниями.


    Скриншот дополнения к Указу Президента Украины №133/2017, которым введены персональные санкции в отношении Сергея Токарева и Рустама Гильфанова.

    По ироническому стечению обстоятельств, потенциальным партнером Playson сейчас выступает компания, которая наиболее пострадала в результате теневой деятельности его основателей. Роялти, невыплаченные в результате подделки продуктов Novomatic, которые используется популярными российскими брендами казино и произведены Globo-Tech, оцениваются более чем в 10 миллионов евро. Десятки российских онлайновых игровых сайтов продолжают процветать благодаря этому пиратскому контенту и получают значительные объемы входящего трафика как от AdWise agency, так и от партнерской программы Lucky Partners. Около 80% трафика GGR приходится на названия продуктов Novomatic. Если сделка между Novomatic и Playson действительно будет осуществлена, это станет серьезным сигналом для темной стороны гемблингового рынка, особенно в таких странах как Россия, Китай, Турция, о том, что любое нарушение авторских прав может быть впоследствии оправдано и монетизировано. Теперь крупные игроки должны решить, стоит ли давать такой сигнал.

    Ответить Цитировать
    3/6
    + 7
  • Etizen @ 22.1.2018
    Наблюдая рост прибыли, в компании начали думать над очищением своей репутации. Не прекращая пиратской деятельности, Токарев и Гильфанов решили одновременно запустить несколько легальный бизнесов — в результате на рынке появились такие относительно «белые» бренды как Joy Casino, Casino-X и PokerDom. В этот раз бренды использовали легальный контент от Microgaming, NetEnt и других поставщиков (в том числе и «законной» части Playson), и управлялись зарегистрированной на Кипре компанией Darklace Ltd. с лицензией Curacao license of Pomadorro N.V. Все эти проекты были собраны под зонтичным брендом партнерской программы PoshFriends. Интересно, что при всем этом покерный сайт PokerDom заявляет, что он управляется Darklace Ltd., но в тоже время он также предлагается и через партнерскую программу Lucky Partners, которая все еще активно работает. Такие бренды необходимы не только для очистки репутации, но, что более важно, служат прикрытием для процессинга платежей на «черных» сайтах.


    Etizen @ 22.1.2018
    управления «серыми» и «белыми» операциями казино, разработки программного обеспечения, партнерских программ, маркетинга, клиентской поддержки и собственно разработки самих игр. Они широко рекламируются на торрент-трекерах и порносайтах с незаконным контентом при помощи собственного карманного агентства AdWise agency


    Etizen @ 22.1.2018
    И вот 7 сентября популярнейшее американское интернет-издание The Huffington Post публикует жесткий материал «Novomatic собирается купить русских гангстеров». В нем детально описаны все способы заработка Токарева и Гильфанова в сфере нелегального игорного онлайн-бизнеса, а также их намерение обелить свою репутацию, продав одну из своих компаний Playson ведущему европейскому игроку Novomatic. Спустя всего сутки, 8 сентября, издание «спрятало» текст.


    Etizen @ 22.1.2018
    акие имена, как Fortuna, Eldorado, Twistcasino, Velkam Deluxe, Geiminator-Slots, SuperSlots появились позже и все также использовали незаконные продукты, предоставляемые Globo-tech. Были созданы тысячи сайтов, через которые ежедневно проходили огромные деньги. Lucky Partners постарались на славу для того, чтобы научить перспективный российский гемблинговый рынок управлять онлайн-казино с помощью пиратского контента, что привело к недополучению десятков миллионов евро основными легальными производителями, такими как Novomatic, Playtech, NetEnt.


    Etizen @ 22.1.2018
    Компания, ранее разделенная между Москвой и Киевом, перевезла всех своих 400+ сотрудников в Украину несколько лет назад. Достаточно странный шаг, принимая во внимание российско-украинский конфликт и тот факт, что гемблинг полностью вне закона в Украине. Неудивительно, что такие действия не были положительно восприняты украинскими властями. Собственники компании Сергей Токарев и Рустам Гильфанов в настоящее время активно преследуются и даже внесены в санкционный список Президента Украины, как физические лица, которым запрещен въезд на территорию Украины и активы которых заморожены. Новые партнеры Novomatic Сергей Токарев и Рустам Гильфанов, как показывает простой поиск Google, были вовлечены в процессы отмывания денег, хаккерства и даже терроризма. И пока украинские спецслужбы продолжают расследование незаконных операций этих известных российских граждан, принадлежащая им группа компаний ищет пути улучшения своей репутации, пытаясь выстроить связи с уважаемыми иностранными компаниями.
    Ответить Цитировать
    3/4
    + 0
  • Etizen, в покерстарзе тоже слоты фейковые процент отдачи намного ниже чем у лицензионных.
    Ответить Цитировать
    1/1
    + 0
  • Ник зарегистрирован через прокси, в статье нет ни слова про покер. Лицензионные и нелицензионные казино и их связь с Лаки уже обсуждались раз десять. На Покердоме весь софт вроде лицензионный в любом случае.
    Ответить Цитировать
    1/1
    + -2
  • "вроде" "в любом случае".
    Ответить Цитировать
    1/1
    + 12
  • Прекрасное решение, согласиться с прочитанным, написать свой пост и после чего изменить название. (Pokerdom: поддельное ПО, отмывания денег, неуплата налогов)


    Soul, специально для Вас!

    Наблюдая рост прибыли, в компании начали думать над очищением своей репутации. Не прекращая пиратской деятельности, Токарев и Гильфанов решили одновременно запустить несколько легальный бизнесов — в результате на рынке появились такие относительно «белые» бренды как Joy Casino, Casino-X и PokerDom. В этот раз бренды использовали легальный контент от Microgaming, NetEnt и других поставщиков (в том числе и «законной» части Playson), и управлялись зарегистрированной на Кипре компанией Darklace Ltd. с лицензией Curacao license of Pomadorro N.V. Все эти проекты были собраны под зонтичным брендом партнерской программы PoshFriends. Интересно, что при всем этом покерный сайт PokerDom заявляет, что он управляется Darklace Ltd., но в тоже время он также предлагается и через партнерскую программу Lucky Partners, которая все еще активно работает. Такие бренды необходимы не только для очистки репутации, но, что более важно, служат прикрытием для процессинга платежей на «черных» сайтах.



    Чтобы преодолеть предвзятость, необходимо научиться свободно мыслить, опираясь на конкретные факты и логические доводы, а не сформированные заранее установки. Очень важно понимать и принимать многогранность мира и дистанцироваться от гордыни и склонности к самооправданию. Давайте не будем подменять понятия. Здесь речь идет не о покере, а об основателей. Для запуска своего бизнеса нужен стартовый капитал, а для открытия своего покер рума, нужен огромный стартовый капитал. Легальность происхождения денег из статьи, ничего не говорит Вам, как аффилейту? Если вы позиционируете себя как самая популярная площадка, то Вы должны брать на себя ответственность за размещение здесь "румы". Ну теперь то он лицензированный (для меня остается под вопросом).


    Если же любой из нас к чему-то предвзято относится, то его слова не могут быть истинными, поскольку он соблюдает свой интерес и преследует выгоду, следовательно, ослеплен неведением, точнее, нежеланием видеть мир и ситуацию такими, какими они на самом деле есть.

    Великодушного человека отличает то, что он не ищет выгоды для себя, но с готовностью делает добро другим. (Аристотель)
    Ответить Цитировать
    4/6
    + 1
  • читать темы про покердом это как рыться в помойке: нет никакого желания и мало приятно
    Ответить Цитировать
    1/1
    + 2
  • Etizen @ 22.1.2018
    Всем доброго дня.

    Я имею отношение к индустрии

    TTR ?
    Ответить Цитировать
    1/1
    + 0
  • Artgolds, нет.
    Ответить Цитировать
    5/6
    + 0
  • Назревает вопрос, а почему про другие румы столько негативных тем не создается...
    Ответить Цитировать
    1/1
    + 0
  • Soul @ 22.1.2018
    Ник зарегистрирован через прокси, в статье нет ни слова про покер. Лицензионные и нелицензионные казино и их связь с Лаки уже обсуждались раз десять. На Покердоме весь софт вроде лицензионный в любом случае.


    Иван, я вот согласен с тем что ты пишешь, про отсутствие прямых доказательств в некоторых обвинениях покердома, про то что другие румы тоже постоянно косячат, но все же приметил кое-что.

    1) Уж слишком рьяно ты начинаешь защищать покердом, менять название тем и спорить со всеми.

    2) Соседний ресурс. Cсылки запрещены вроде, но о горячих темах на гипси постоянно пишут и там. Ресурс также плотно сотрудничает с покердомом. Там сделали статью, посвященную прошлым обсуждениям покердома.

    Посыл изначально был негативный. Допустим одна из цитат

    "Рекламный слоган на сайте рума «без софта и ботов» выглядит как минимум кощунственно в данной ситуации, но продолжает висеть на главной странице."


    Однако через пару недель после ответа ПД выходит статья "Официальный ответ Pokerdom по ситуации с ботами", в которой посыл резко меняется на положительный, типа ботов мы нашли и забанили, боты есть везде, меры принимаются и вообще покердом молодцы.

    И вот тут уже видны некоторые закономерности. А именно попытка поменять общий посыл обсуждений.

    То есть изначальные обсуждения в духе "покердом лохотрон, регулярно дурит игроков, говорят что ботов нет при этом там пол поля ботов и никто их и не собирался банить, да и с гсч что-то не то" вы (аффилейты) пытаетесь сменить на нечто вроде "ну проблема только в ботах, а ботов уже забанили, да и понятно что честные игроки будут тоже под раздачу попадать, да и другие румы такие же и тоже с ботами".

    И это выглядит довольно палевно. Ну примерно как фейковые отзывы на яндекс-маркете, когда копирайтеру дают задачу писать отзыв с небольшой долей негатива, но с немедленным оправданием этого негатива, дабы отзыв выглядел настоящим.

    Ну и несмотря на то что ты много раз в прошлой теме говорил, что партнерки одинаковы, я вижу только такие варианты почему так происходит:

    Либо партнерка покердома реально достаточно жирная и вы боитесь ее потерять, либо покердом давит на аффов, заставляя сглаживать конфликты и мягко пытаться поменять мнение комьюнити.

    Я не сильно разбираюсь в отношениях афф-рум и ни в чем вас не обвиняю, так что это так, просто инфа для размышления
    Сообщение отредактировал awakening - 22.1.2018, 20:51
    Ответить Цитировать
    1/1
    + 5
  • JonniDOP @ 22.1.2018
    Назревает вопрос, а почему про другие румы столько негативных тем не создается...


    Всему своё время. Ещё создадутся.
    Ответить Цитировать
    1/2
    + 0
1 2 3
1 человек читает эту тему (1 гость):
Зачем регистрироваться на GipsyTeam?
  • Вы сможете оставлять комментарии, оценивать посты, участвовать в дискуссиях и повышать свой уровень игры.
  • Если вы предпочитаете четырехцветную колоду и хотите отключить анимацию аватаров, эти возможности будут в настройках профиля.
  • Вам станут доступны закладки, бекинг и другие удобные инструменты сайта.
  • На каждой странице будет видно, где появились новые посты и комментарии.
  • Если вы зарегистрированы в покер-румах через GipsyTeam, вы получите статистику рейка, бонусные очки для покупок в магазине, эксклюзивные акции и расширенную поддержку.