Matt_Monica, Красивая молния)


Matt_Monica @ 5.1.2021
Ну, а до тех пор, задачка для искушённых математиков: сколько бб и на каком лимите я должен проиграть, чтобы винрейт за 100к рук был равен 1.3 бб на сто?

lightbringer @ 5.1.2021
На любом, закупиться на 9259.9бб и въебать их в одной раздаче
Matt_Monica @ 7.1.2021
на дистанции в 100к рук (где 99999 с нл50)
lightbringer @ 5.1.2021
Если учитывать ограничения по докупке и считать, что под винрейтом мы подразумеваем "деньги, переведенные в бб лимита нл50, деленные на 100", то 92.599бб (92.6 тоже сойдёт) на 5к
Happyface588 @ 10.1.2021
потерять 9 259,8944 ББ за 1 руку, чтобы на дистанции в 100к рук получить искомый винрейт.
Happyface588 @ 10.1.2021...нам делать не нужно. В зависимости от лимита, на котором будет сыграна последняя рука, ответ будет чёткий и однозначный - под винрейтом мы будем понимать ровно то, чем он будет являться.
предположение, что мы имеем ввиду под конечным винрейтом в 1.3бб/100
Happyface588 @ 10.1.2021
что на нл5к=$4493.25/$50=89.865 бб. На нл10к=44.9325 бб и тд.
Matt_Monica @ 11.1.2021
На деле, я бы даже принял ответ "задачу невозможно решить, так как условие неполное" (с сопутствующими объяснениями, разумеется) - как верный ввиду того, что неизвестно, сколько и на каких лимитах рук было сыграно.
Matt_Monica @ 11.1.2021
считается либо по нл50, либо по условному "нл52.43"
Matt_Monica @ 9.1.2021
Так учитывая всего одну раздачу, практически возможно получить итоговый результат только на лимите от 5к, а значит итоговый результат нужно было считать с учётом этого - общим показателем бб\100, а не допущением про нл 50.
Happyface588 @ 12.1.2021
найти необходимый винрейт за следующее количество сыгранных далее рук. В данном случае 1й доп руке.
Happyface588 @ 12.1.2021
нужно очень много потерять бб за последнюю руку, чтобы на выходе получить wr=1.3 bb/100
Happyface588 @ 12.1.2021
чтобы сохранить начальную зависимость между $5143.25 b wr=10.56 bb\100
Happyface588 @ 12.1.2021
Те мы должны потерять $5143.25 - $633.17=$4510.08 на условном среднем НЛ48.7
Happyface588 @ 12.1.2021
потеряем $5000 на 5к,то это всего 100бб за 1руку или 10000 бб/100, тогда
10.56*(99999/100k) - 10000*(1/100k)=10.46 бб/100
Matt_Monica @ 12.1.2021
Твой вердикт - получить такой ответ невозможно?
Matt_Monica @ 12.1.2021
При каких бб?
Matt_Monica @ 12.1.2021
Ты используешь переменную "бб", но на этапе расчётов она не статична. До итоговой руки она будет одна. После итоговой руки она изменится, что повлияет на предыдущие расчёты.
Ну так или нет? По-твоему, я что-то путаю?
Ты говоришь, что размер бб ни на что не влияет - важен лишь фактический винрейт (бб\100) за эту последнюю руку. И тот факт, что для предыдущих рук "бб" был другим - не влияет на расчёты, так как для обоих отрезков сыгранных рук мы оперируем лишь независимым показателем винрейта, а потом оба винрейта соотносим и, тем самым, получаем винрейт на 100к рук. Верно?
Matt_Monica @ 5.1.2021
сколько бб и на каком лимите я должен проиграть, чтобы винрейт за 100к рук был равен 1.3 бб на сто?
lightbringer @ 5.1.2021
На любом, закупиться на 9259.9бб и въебать их в одной раздаче
Если учитывать ограничения по докупке и считать, что под винрейтом мы подразумеваем "деньги, переведенные в бб лимита нл50, деленные на 100", то 92.599бб (92.6 тоже сойдёт) на 5к
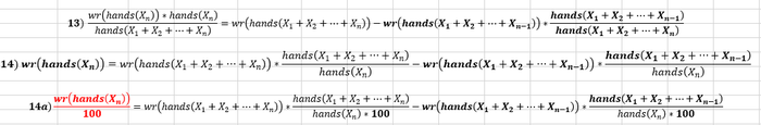
Happyface588 @ 13.1.2021
1) Найдем наш средний винрейт на 3х лимитах
ВР(бб/100)=+3бб*(50000/(50000+25000+80000)) - 40*(25000/(50000+25000+80000))+10*(80000/(50000+25000+80000))=
=+3*50/155 - 40*25/155+10*80/155=(150-1000+800)/155= - 50/155= -10/31= ~ - 0.32
При итоговом результате=$15000 - $200+$4000=+$18800
2) А теперь найдем винрейт на 155000 рук, но будем оперировать средним винрейтом на Нл2+нл1К=-34/3 бб/100, а также винрейтом на нл50=+10 бб/100
ВР(бб/100)=(-34/3)*(50000+25000)/155000+10*80000/155000=(-34/3)*75/155+10*80/155=(-34)*25/155+10*80/155=(-850)/155+800/155=- 50/155= -10/31= ~ - 0.32
Один и тот же результат, тк мы оперируем в бб.
Matt_Monica @ 13.1.2021
Соответственно, я ожидал, что в изначальной задаче есть настолько высокий лимит, который, при должной потере некоторого количества бб на нём - сгладил бы средний бб за 100к рук в такой, которым можно описать полученный профит как 1.3бб\100.
Matt_Monica @ 5.1.2021
сколько бб и на каком лимите я должен проиграть, чтобы винрейт за 100к рук был равен 1.3 бб на сто?
Matt_Monica @ 13.1.2021
И да, условия были совершенно не прописаны - на счёт закупки я подразумевал дефолтные ограничения старзовских структур. Но это не столь важно.
Matt_Monica @ 5.1.2021
Верно решившему эту задачу, переведу на старз 1.3 бб на сто с этих 100к рук.
Matt_Monica @ 5.1.2021
Верно решившему эту задачу, переведу на старз 1.3 бб на сто с этих 100к рук.
Matt_Monica @ 13.1.2021
Подтверди или опровергни своей математичной - и мы придём к конечному выводу.
Happyface588 @ 13.1.2021
По сути, можно было сыграть на иранские реалы
Happyface588 @ 13.1.2021
все же это довольно необдуманное заявление.
Happyface588 @ 13.1.2021
Скорее всего, ты путаешь показатели bb/hand и $/hand
Да, $/hand(те стоимость руки) будет меняться в зависимости от лимита, но котором сыграем руку, НО бб всегда останется бб.