Александр Малахов за несколько неудачных раздач раздал большую часть своего стека. В итоге в одной из раздач он зашёл с и, попав в среднюю пару на флопе поставил олл-ин. Последовал колл от Вячеслава, у которого оказались Терн и ривер без усиления для Саши.
Киевлянин Александр Малахов, который очень долго находился в ранге чиплидера, выбывает на 4-м месте и получает 34.000 грн призовых + баунти.
Борьбу в Топ-3 продолжают: Роберт Файзрахманов (Ижевск) Сергей Ильяшенко (Черноморск) Вячеслав Петровский (Тирасполь) Мультинациональная тройка призёров сформировалась в турнире McGregor Trophy SuperKnockout!
Роберт, будучи с самым коротким стеком, несколько раз успешно устоял в олл-инах. Но в итоге он запушил 240К при блайндах 25К/50К с и получил колл от Вячеслава, у которого оказались Борд Две пары для Вячеслава.
Роберт Файзрахманов, Ижевск, 3 место и 43.400 грн призовых + баунти.
Программа на пятницу, 17 мая Сегодня рабочий день на нашей серии начнется в 11:00. В это время стартует заключительный фриролл-сателлит к турниру Khreschatyk Poker Open (1E) В 14:00 начнется турбо-флайт Khreschatyk Poker Open (1E) А в 18:00 начнется комбинированный день этого турнира, в который перейдут все игроки, успешно преодолевшие отборочные дни. На этой стадии вступить в турнир можно будет за 8900 гривен и получить стек 200 000 фишек! Гарантия турнира Khreschatyk Poker Open - 1 500 000 гривен! Удачи всем!
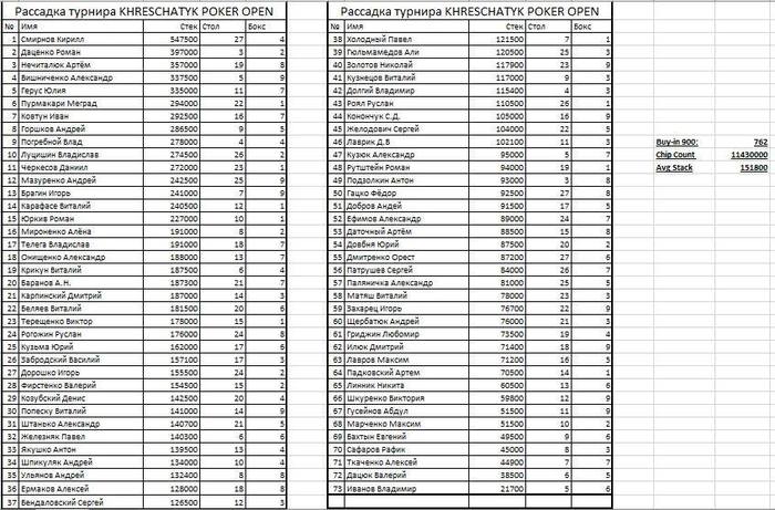
Завершилась поздняя регистрация во флайте 1Е турнира Khreschatyk Poker Open! Сегодня было сделано ровно 150 входов. 762 входа было сделано у нас за пять флайтов турнира!
59 спортсменов продолжают борьбу за место в "Комбинированном дне", который стартует сегодня в 18:00! Напомним, в эту стадию турнира можно вступить за 8900 гривен и получить стек 200 000 фишек. Блайнды в финальной стадии стартуют с 600 - 1200! Приезжайте пораньше, друзья! Регистрация скоро начнется!
Пара тузов - это еще не победа. "Без таких раздач турнир не выиграешь", - сказал обладатель после раздачи А обладатель тузов ничего не сказал. Достойно принял удар
Стартовала регистрация в Комбинированный этап турнира Khreschatyk Poker Open! Бай-ин - 8900 гривен. Стек 200 000. Блайнды на старте 600 - 1200 Старт в 18:00!
Все "выжившие" во флайте 1Е спортсмены запаковывают свои фишки. Уже через 45 минут они продолжат борьбу в "Комбинированном дне" Khreschatyk Poker Open!
Вы сможете оставлять комментарии, оценивать посты, участвовать в дискуссиях и повышать свой уровень игры.
Если вы предпочитаете четырехцветную колоду и хотите отключить анимацию аватаров, эти возможности будут в настройках профиля.
Вам станут доступны закладки, бекинг и другие удобные инструменты сайта.
На каждой странице будет видно, где появились новые посты и комментарии.
Если вы зарегистрированы в покер-румах через GipsyTeam, вы получите статистику рейка, бонусные очки для покупок в магазине, эксклюзивные акции и расширенную поддержку.
Терн и ривер без усиления для Саши.
Киевлянин Александр Малахов, который очень долго находился в ранге чиплидера, выбывает на 4-м месте и получает 34.000 грн призовых + баунти.